• Предмет: Геометрия
  • Автор: burlutskiyis
  • Вопрос задан 7 лет назад

Срочно!! с объяснением!! даю 35 баллов!!
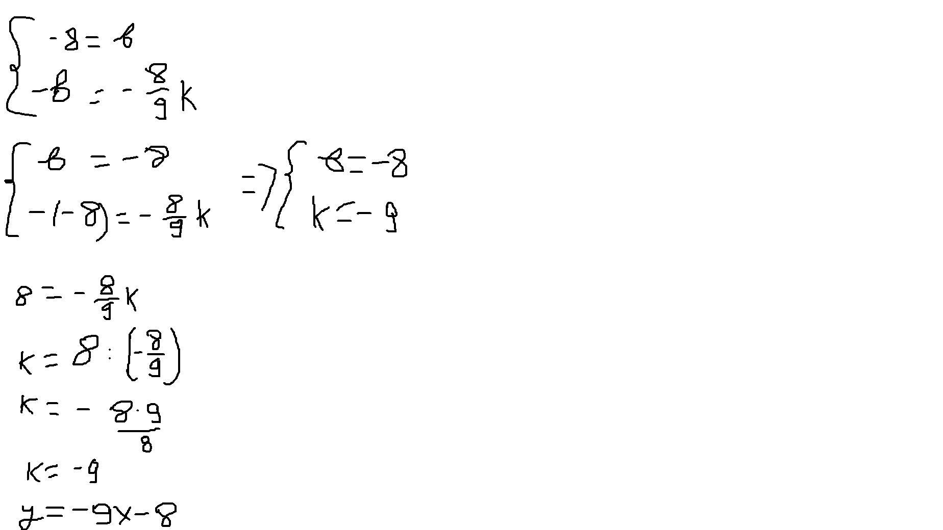
График функции y=kx+b пересекает оси координат в точках А(0;-8) и В(-8/9;0)​

Ответы

Ответ дал: mixailsav
1

Если нужно определить уравнение прямой, то вот...

Если прямая пересекает координатные прямые в точках А(0;-8) и В(-8/9;0)​, то можем составить следующие уравнения:

А(0;-8), здесь х=0; у = -8. Подставим эти значение в функцию

y=kx+b

-8=k*0 +b

Аналогично со второй точкой.

В(-8/9;0) здесь х=-8/9; у = 0. Подставим эти значение в функцию

y=kx+b

0=k*(-8/9) +b

K  и b должны удовлетворять обеим уравнениям, следовательно имеем систему уравнений...

Приложения:

burlutskiyis: можешь помочь еще с одним?
Вас заинтересует