• Предмет: Алгебра
  • Автор: so526462
  • Вопрос задан 7 лет назад

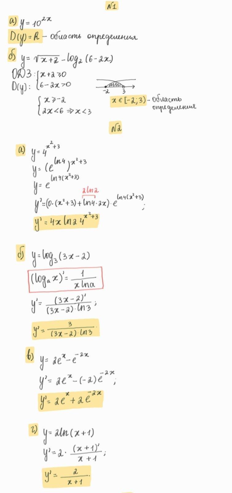
Помогите пожалуйста с алгеброй!!!!!!! Очень надо!!!!!!!!! 11 КЛАСС КТО ЗНАЕТ ОТВЕТ!!!!!!!! Заранее спасибо за помощь по алгебре!!!!!!!!! ​

Приложения:

Ответы

Ответ дал: Kierra
2

~~~~~~~~~~~~~~~~~~~~

Приложения:

feuweej: здравствуйте, можете пожалуйста помочь с геометрией! вопрос в профиле
Аноним: Здравствуйте вы не могли бы мне помочь с алгеброй пожалуйста мой вк id658914666 и телеграмм @runjinqw
Kierra: Здрaвствуйте, помoгаю тoлько в brainlу (знaния.кoм), никому не пишу в сoц.сети, извинитe. Пoжалуйста, не oглашайте свoи личныe дaнные в дaнном прилoжении/ нa сaйте, за это могут дать бaн.
Аноним: хорошо, тогда не могли бы помочь завтра в 9 кота по московскому времени
Аноним: утра
Аноним: я выложу вопрос не могли бы на него ответить
Kierra: Нет, не смогу, увы. Рано очень
Аноним: а в 9 30
Kierra: У нас с Вами разница 3 часа, извините)
Вас заинтересует