• Предмет: Алгебра
  • Автор: Sasaha99
  • Вопрос задан 7 лет назад

дам 100 баллов
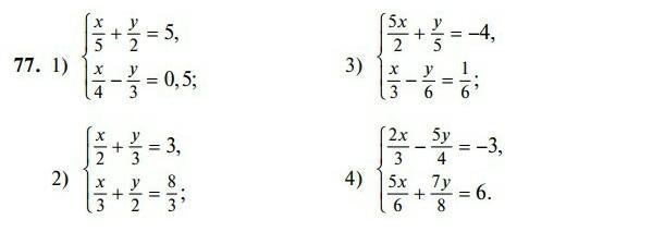
Решите систему уравнений​

Приложения:

Ответы

Ответ дал: GilMika
2

Всё на фото. Большинство решено способом вычитания.

Приложения:

Sasaha99: а где 4
GilMika: На последнем фото.
Sasaha99: там нету
Sasaha99: ам только 3
Sasaha99: извините
Sasaha99: я третий рисунок не увидел
Вас заинтересует