• Предмет: Математика
  • Автор: zcxkeet
  • Вопрос задан 7 лет назад

Срочно!! Дам 30 баллов

Приложения:

Ответы

Ответ дал: dobra888
1

Ответ:

Пошаговое объяснение:

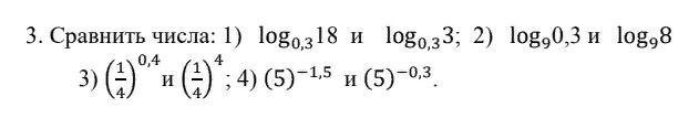
 3 . 1 ) log₀,₃18 <  log₀,₃3 , бо  основа логарифма а = 0,3 < 1  ( cпадна ) ;

2) log₉0,3 < log₉8 , бо  основа логарифма а = 9 > 1 ( ф. зростаюча ) ;

3) ( 1/4 )⁰'⁴ > ( 1/4 )⁴, бо основа степеня а = 1/4 < 1  ( ф-ція спадна ) ;

4)  5⁻¹'⁵ < 5⁻⁰'³ , бо основа степеня а = 5 > 1  ( ф-ція зростаюча ) .  

Вас заинтересует