Помогите с дискриминантом пожалуйста,на листочке распишите подробно все действия,заранее спасибо.
1. х²-3х-4=0
2. 3х²+х+15=0
3. 2х²-6х-20=0
Ответы
Ответ дал:
1
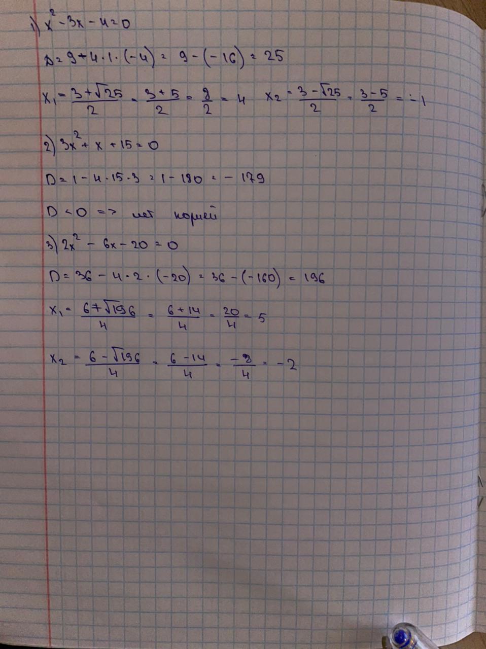
Расписал все по действия
Приложения:

milenaarshakovna:
Спасибо большое,это точно правильно?
Ответ дал:
0
Объяснение:
Х^2-3х-4=0
a=1 ; b= - 3 ; c= - 4
D=b^2-4ac
D=(-3)^2-4×1×(-4)=9+16=25
X=(-b±(кореньD))/2a
X1=(3+5)/2×1=8/2=4
X2=(3-5)/2= - 2/2= - 1
3x^2+x+15=0
D=1^2-4×3×15=1-180= - 179
D<0, нет корней
2х^2-6х-20=0
D=(-6)^2-4×2×(-20)=36+160=196
X1=(6+14)/2×2=20/4=5
X2=(6-14)/4= - 8/4= - 2
Вас заинтересует
2 года назад
2 года назад
8 лет назад
9 лет назад