• Предмет: Алгебра
  • Автор: anyashepelina0159
  • Вопрос задан 7 лет назад

Пожалуйста помогите очень срочно надо

Приложения:

Ответы

Ответ дал: NNNLLL54
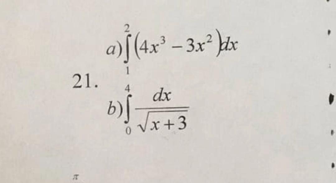
1

Ответ:

Используем таблицу интегралов и формулу Ньютона-Лейбница .

\displaystyle a)\ \int\limits^2_1\, (4x^3-3x^2)\, dx=\Big(4\cdot \frac{x^4}{4}-3\cdot \frac{x^3}{3}\Big)\Big|_1^2=(x^4-x^3)\Big|_1^2=16-8-(1-1)=8\\\\\\b)\ \ \int\limits_0^4\frac{dx}{\sqrt{x+3}}=2\sqrt{x+3}\Big|_0^4=2\, (\sqrt7-\sqrt3)

Вас заинтересует