• Предмет: Алгебра
  • Автор: kyliew
  • Вопрос задан 7 лет назад

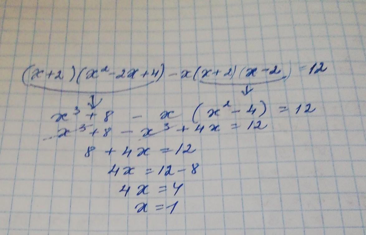
(х+2)(х^2-2х+4)-х(х+2)(х-2)=12

Ответы

Ответ дал: larisaserova53
1

Ответ:

Смотри решение на фото...

Приложения:
Вас заинтересует