• Предмет: Алгебра
  • Автор: AmorOptima
  • Вопрос задан 7 лет назад

помогите с задачей пожалуста

Приложения:

Ответы

Ответ дал: GilMika
0

Противоположные числа - числа, что отличаются друг от друга только знаком.

В данном задании ответ: 4) б, в

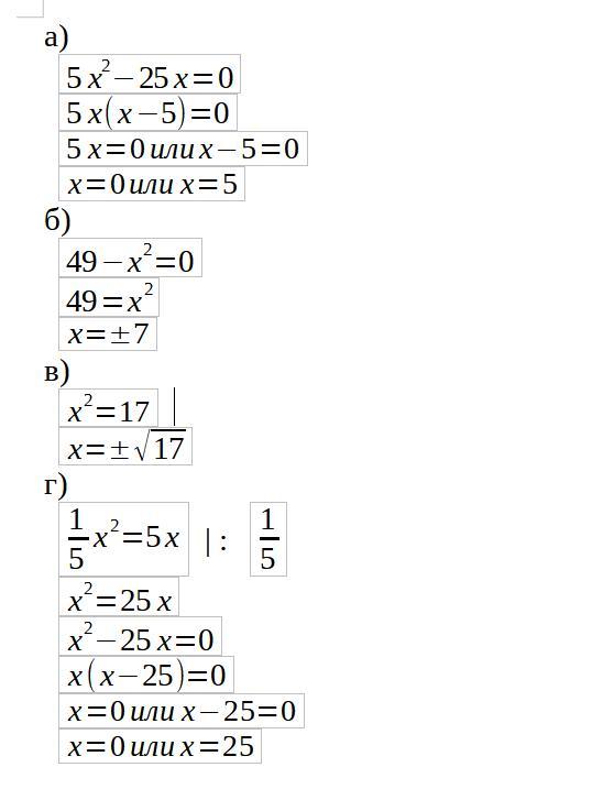
Решение на фото.

Приложения:
Вас заинтересует