• Предмет: Физика
  • Автор: dayana7023
  • Вопрос задан 7 лет назад

2 ванны соединены последовательно в первой выделилось 100 г никеля сколько Хрома выделилось во второй ванне​

Ответы

Ответ дал: fererererfr
1


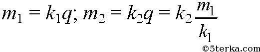
Последовательно с электролитической ванной, заполненной солью никеля, включена ванна, в которой находится соль хрома. После размыкания цепи в первой ванне выделилось 10 г никеля. Сколько хрома выделилось во второй ванне?


Дано:




Найти m2.



Решение.




Ответ: m2 = 5 г.

Приложения:

fererererfr: Сделай лучший пж
dayana7023: не могу пока
dayana7023: мне дано и решение нужно,у меня сейчас кр
fererererfr: Вот решение
fererererfr: Сделай лучший пж
Вас заинтересует