• Предмет: Математика
  • Автор: Аноним
  • Вопрос задан 7 лет назад

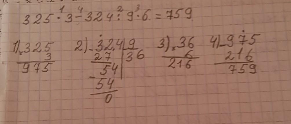
Пример 325×3-324:9×6

Приложения:

Аноним: Пжж помогите

Ответы

Ответ дал: zubeidachelibeva
3

Ответ:

вот)))))))))))))))))))))))

Приложения:

Аноним: Спс
zubeidachelibeva: ага )
zubeidachelibeva: лучший можно
Аноним: Что ещораз лучше можно ты это про что говорил-а?
Вас заинтересует