Ответы
Ответ дал:
0
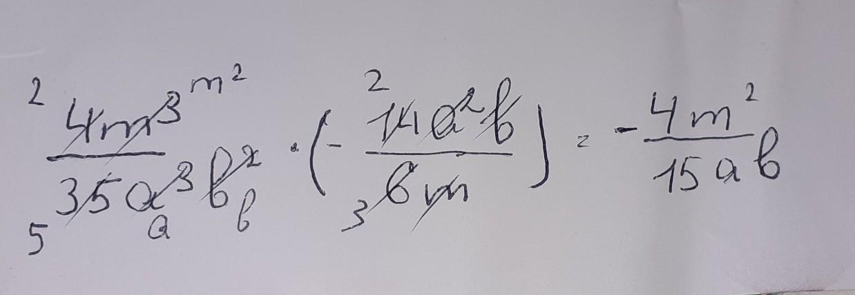
ответ на фото! успехов!
Приложения:

Вас заинтересует
2 года назад
2 года назад
2 года назад
8 лет назад