Ответы
Ответ дал:
1
Ответ:
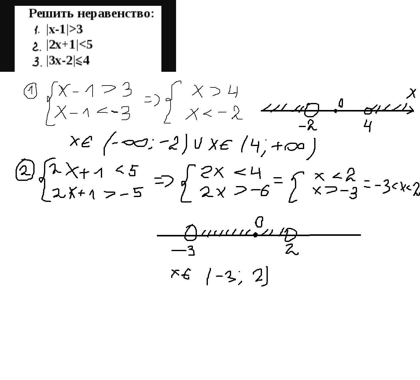
1. |x-1|>3
х-1=любое натуральное число от 4 до бесконечности их противоположные числа
х=на один больше х-1
danul2009:
где все
Ответ дал:
1
3 попробуй самостоятельно. Подмодульное выражение должно быть меньше или равно 4 и больше или равно -4 и решаем систему
Приложения:

Вас заинтересует
2 года назад
2 года назад
2 года назад
2 года назад
8 лет назад
8 лет назад
9 лет назад