Ответы
Ответ дал:
1
.......................
Приложения:
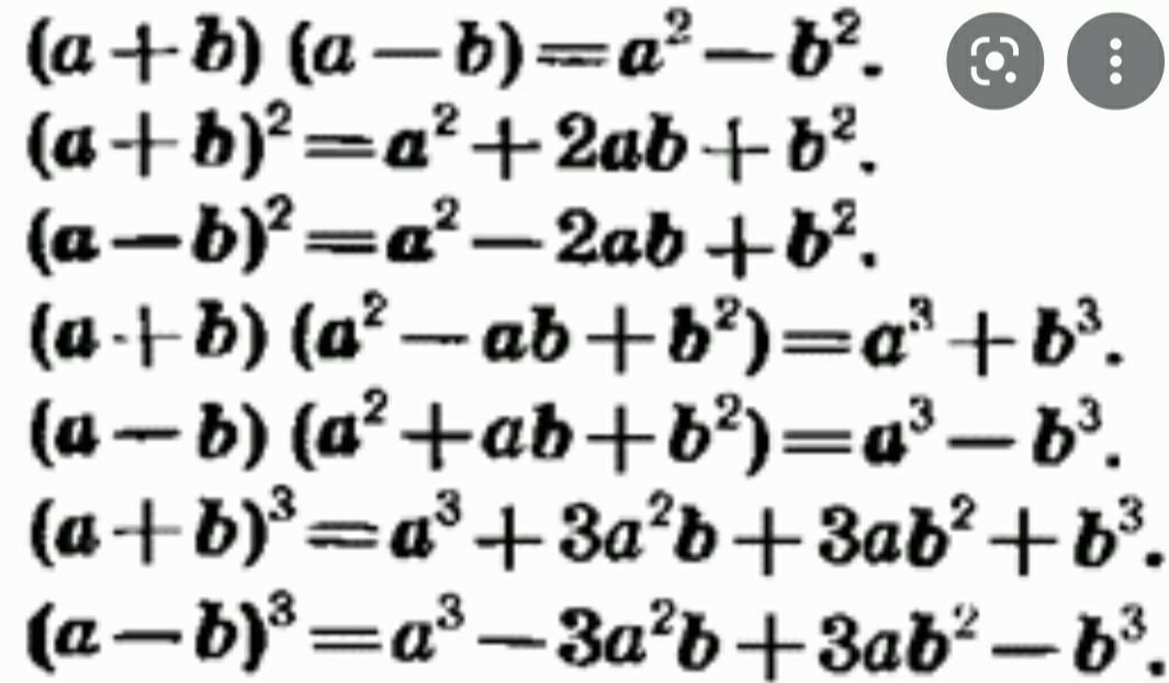
evaspiridonovaokda:
Я видела эту картинку
ну вот в ней и заключенны все правила
на примерах тут сложно их со временем надо заучивать
Ответ дал:
1
Первый член первого многочлена умножить на каждый член второго многочлена. Второй член первого многочлена умножить на каждый член второго многочлена. И так далее.
Сложить полученные произведения.
Преобразовать полученную сумму в многочлен стандартного вида.
Пример многочлена:(a+b) (c+d)=ac+ad+bc+bd.
Сложить полученные произведения.
Преобразовать полученную сумму в многочлен стандартного вида.
Пример многочлена:(a+b) (c+d)=ac+ad+bc+bd.
Вас заинтересует
2 года назад
3 года назад
3 года назад
8 лет назад
8 лет назад
10 лет назад
10 лет назад