• Предмет: Математика
  • Автор: ngazatullina
  • Вопрос задан 7 лет назад

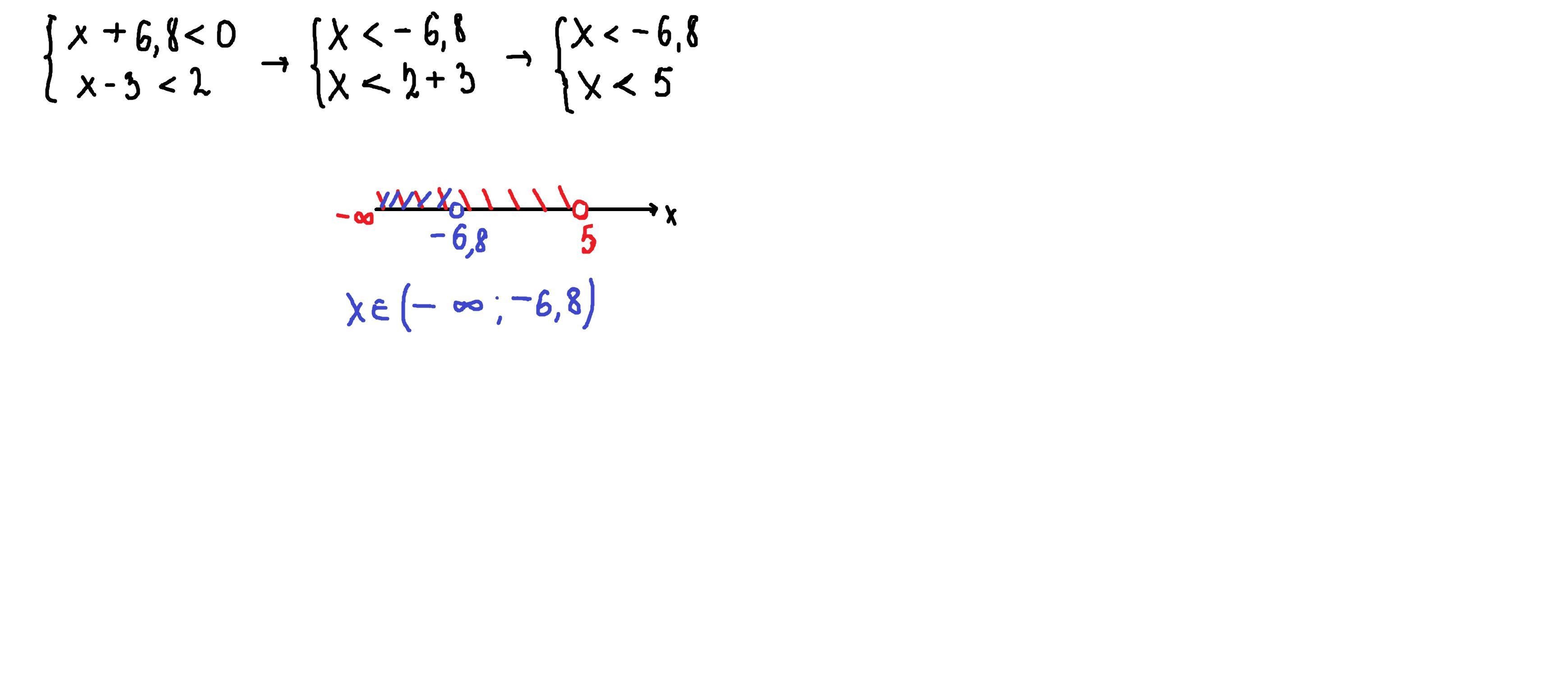
Решите систему неравенств {х+6,8<0,х-3<2. На каком рисунке изображено множество её решений? ответ с решением.


parus77: а где рисунок?

Ответы

Ответ дал: parus77
4

Ответ:

рисунка нет,выбирать не из чего

Пошаговое объяснение:

решение внизу

Приложения:
Вас заинтересует