• Предмет: Математика
  • Автор: renaqurbanova
  • Вопрос задан 7 лет назад

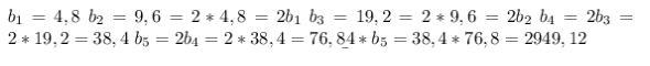
Найдите сумму следующих трёх членов последовательности 4,8;9,6;19,2;...

Ответы

Ответ дал: mixgame2008x
0

Ответ:

вроде так)

Пошаговое объяснение:

Приложения:
Вас заинтересует