Ответы
Ответ дал:
1
Ответ:
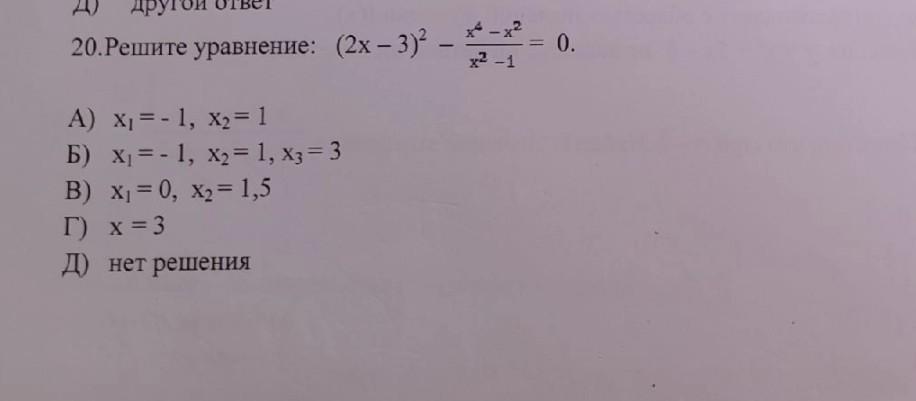
Ответ на выше сказанный вопрос это буква Г
Объяснение:
Ответ дал:
1
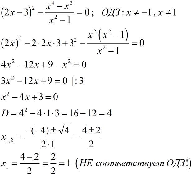
Решение во вложениях.
Приложения:


Вас заинтересует
2 года назад
2 года назад
2 года назад
8 лет назад
8 лет назад
9 лет назад
9 лет назад