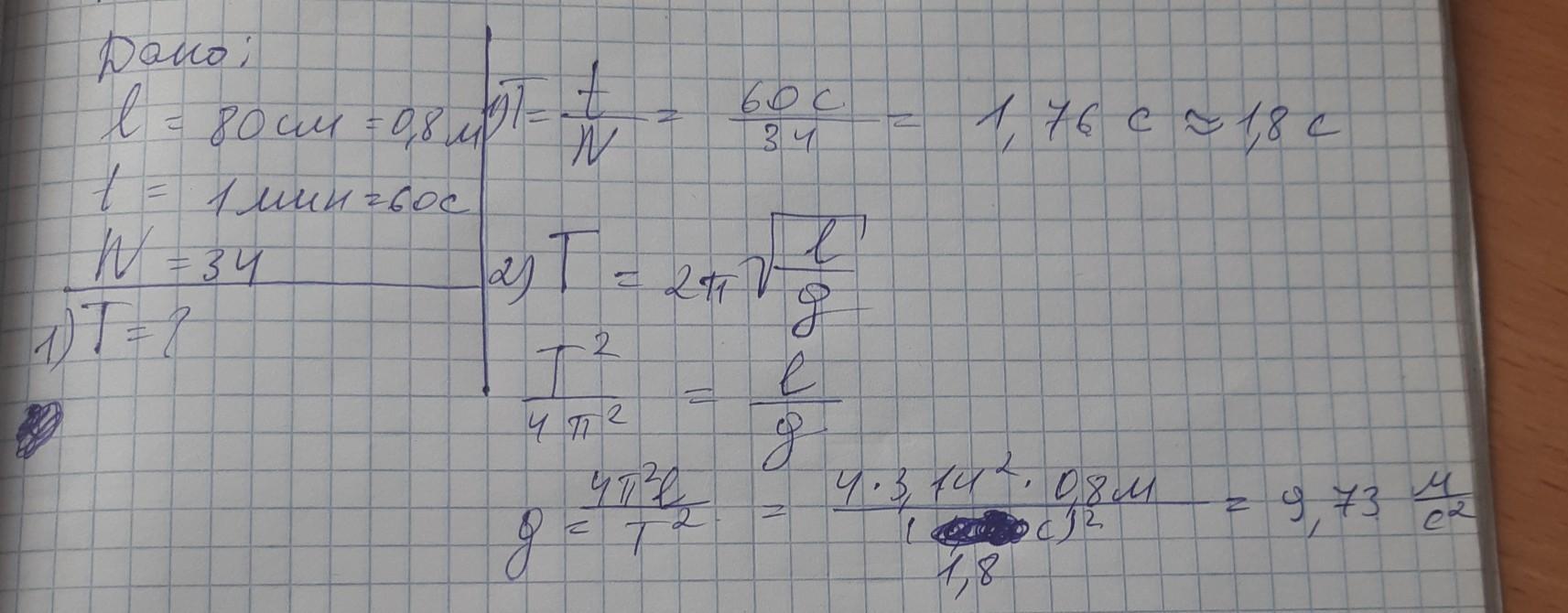
БЫСТРО ОТВЕТИТ. 4. При выполнении лабораторной работы ученик измерил, что маятник длиной 80 см совершил за 1 мин 34 колебания? 1. Вычислите период колебаний математического маятника (0) 2. Выразите ускорение свободного падения из формулы периода колебаний математического маятника (1) 3. Вычислите по полученной формуле ускорение свободного падения
Ответы
Ответ дал:
0
Ответ:
см. на фото..................
Приложения:

Вас заинтересует
2 года назад
2 года назад
2 года назад
2 года назад
8 лет назад
8 лет назад
9 лет назад