• Предмет: Алгебра
  • Автор: tiesrun0406
  • Вопрос задан 7 лет назад

ироцыональное уравнение √1-3х=х+1 помогите пожалуйста​

Ответы

Ответ дал: fenix6810
1

возводим в квадрат обе части уравнения

1-3х=x²+1+2x

x^2+5х=0

х=0

х=-5

проверяем ОДЗ

1-3х>=0  x<=1/3

x+1>=0

x>=-1

удовлетворяет единственный корень х=0

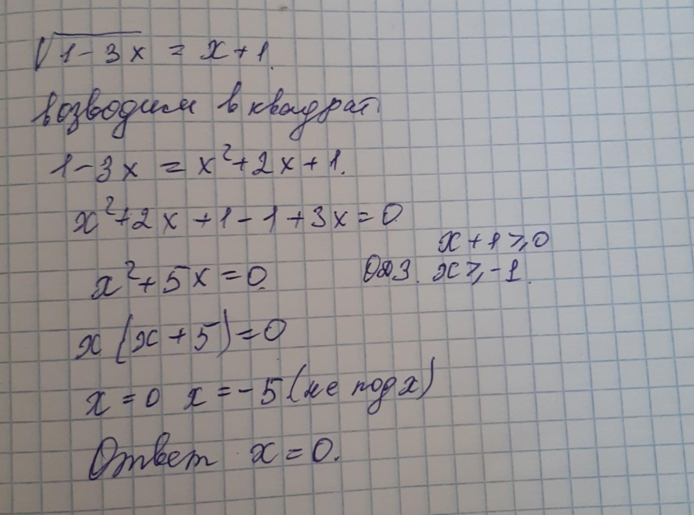
Ответ дал: bahytgulkabylainova
1

Объяснение:

см фото,,,,,,,,,,,,,,,,,,,,,,,,

Приложения:
Вас заинтересует