• Предмет: Алгебра
  • Автор: sasapesnev55
  • Вопрос задан 7 лет назад

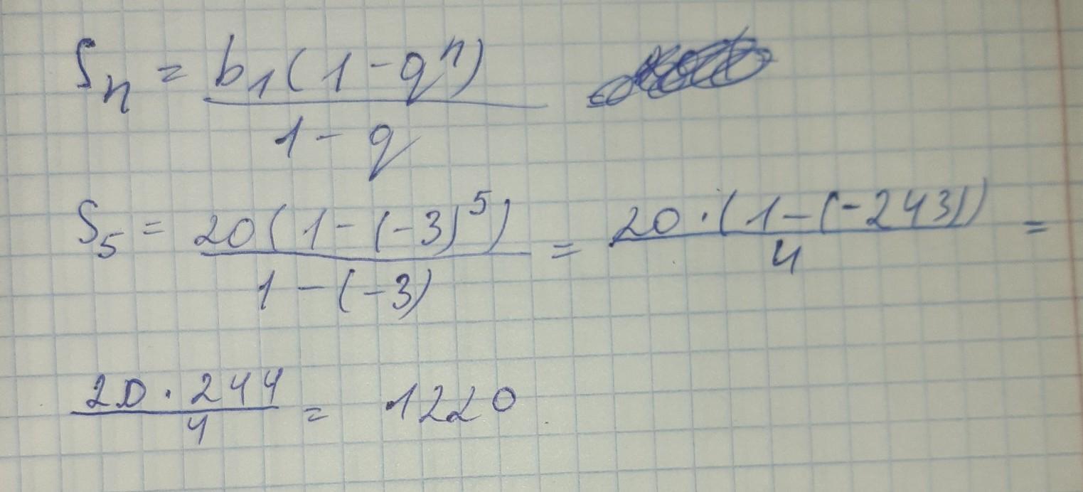
найти сумму пяти первых членов геометрической прогрессии если b=20 q= -3

Ответы

Ответ дал: mitzuki058
2

Ответ:

см. на фото.................

Приложения:

Аноним: помоги пж с физикой, дам 73, очень надо
mitzuki058: я там могу сделать лишь часть задания
Аноним: давай хоть так)
sasapesnev55: спасибо
Вас заинтересует