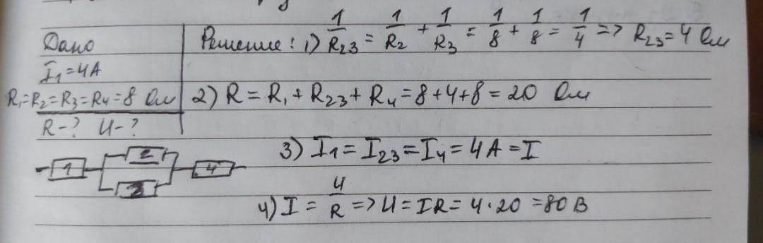
Вычислите общее
сопротивление и общее напряжение участка цепи на рисунке, если сопротивление каждого резистора равно 8 Ом и сила тока через первый резистор 4 А.
Приложения:

Ответы
Ответ дал:
0
Решение на картинке.
Приложения:

Вас заинтересует
2 года назад
2 года назад
2 года назад
2 года назад
8 лет назад
8 лет назад
9 лет назад
9 лет назад