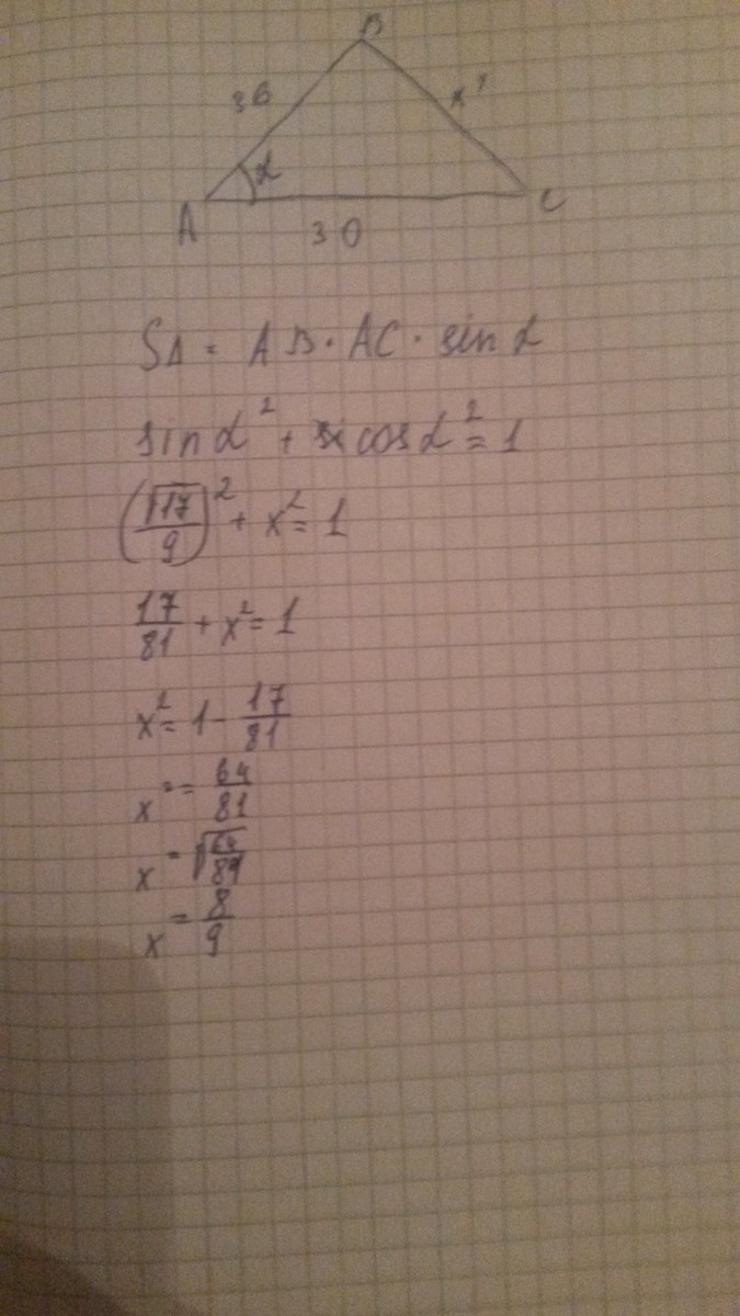
в треугольнике одна из сторон равна 36 другая равна 30 а косинус угла между ними равен квадратный корень из 17 поделенного на 9.найти площадь треугольника
Ответы
Ответ дал:
0
извиняюсь за подчерк
самое главное забыл: S=36*30*8/9=1080*8/9=120*8=960
самое главное забыл: S=36*30*8/9=1080*8/9=120*8=960
Приложения:
Вас заинтересует
3 года назад
3 года назад
8 лет назад
8 лет назад
11 лет назад
11 лет назад