• Предмет: Математика
  • Автор: adamovichnatali275
  • Вопрос задан 7 лет назад

первое число равно 24 и состовляет 3/8 от второго числа. третье число состовляет 3/4 от второго. найдите второе и третье числа. СРОЧНОГО!!!​

Ответы

Ответ дал: Alex1567X
1

Ответ:

2 число: 24:3*8= 64

3 число: 64:3*4= 8,1/3 (одна третья)

Ответ: 8,1/3

Пошаговое объяснение:

8целых одна третья

Ответ дал: baranovskijdaniil297
0

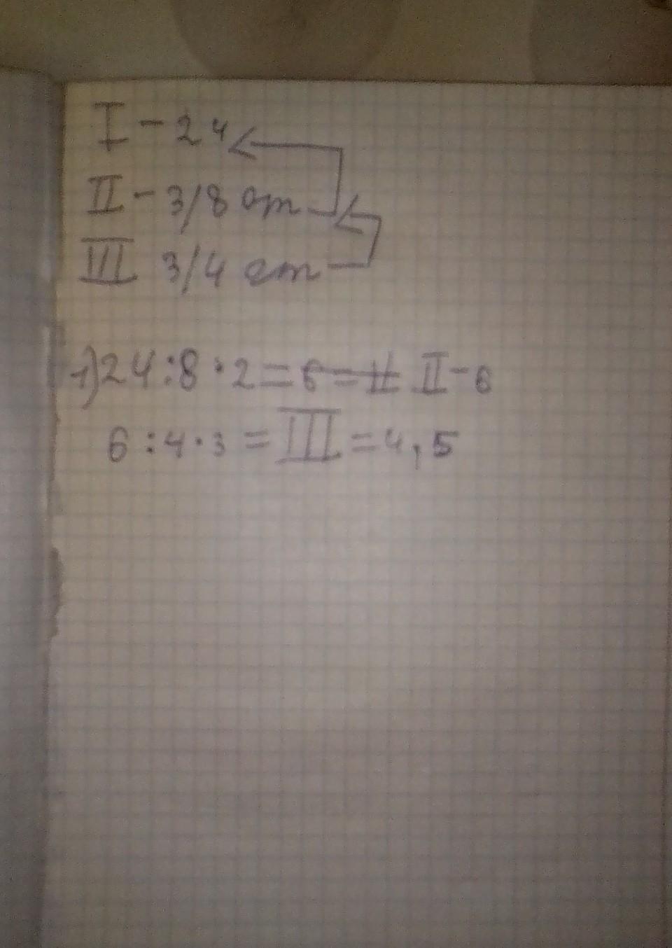
Ответ:

2-6,

3-4,5

Пошаговое объяснение:

1)24:8*2=6

6:4*3=4,5

Приложения:
Вас заинтересует