• Предмет: Алгебра
  • Автор: inwie
  • Вопрос задан 7 лет назад

Помогите пожалуйста алгебра 7 класс Даю 100 балов

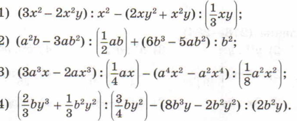
Приложения:

Ответы

Ответ дал: Universalka
1

\displaystyle\bf\\(3x^{2} -2x^{2} y):x^{2} -(2xy^{2} +x^{2} y):\Big(\frac{1}{3} xy\Big)=\\\\\\=\frac{x^{2} (3-2y)}{x^{2} } -xy\cdot(2y+x)\cdot\frac{3}{xy} =(3-2y)-3(2y+x)=\\\\\\=3-2y-6y-3x=3-8y-3x\\\\\\2)\\\\(a^{2} b-3ab^{2} ):\Big(\frac{1}{2} ab\Big)+(6b^{3} -5ab^{2}) :b^{2} =\\\\\\=ab\cdot(a-3b)\cdot\frac{2}{ab} +\frac{b^{2} \cdot(6b-5a)}{b^{2} } =2\cdot(a-3b)+6b-5a=\\\\\\=2a-6b+6b-5a=-3a

\displaystyle\bf\\3)\\\\(3a^{3} x-2ax^{3}):\Big(\frac{1}{4} ax\Big) -(a^{4} x^{2} -a^{2} x^{4} ):\Big(\frac{1}{8}a^{2} x^{2}  \Big)=\\\\\\=ax\cdot(3a^{2}-2x^{2} )\cdot\frac{4}{ax} -a^{2} x^{2} \cdot(a^{2} -x^{2} )\cdot\frac{8}{a^{2} x^{2} } =\\\\\\=4\cdot(3a^{2} -2x^{2} ) -8\cdot(a^{2} -x^{2} )=12a^{2} -8x^{2} -8a^{2} +8x^{2} =4a^{2} \\\\\\4)\\\\\Big(\frac{2}{3} by^{3} +\frac{1}{3} b^{2} y^{2} \Big):\Big(\frac{3}{4} by^{2} \Big)-(8b^{3} y-2b^{2} y^{2} ):(2b^{2} y)=

\displaystyle\bf\\=\frac{1}{3} by^{2} \cdot(2y+b)\cdot\frac{4}{3by^{2} } -\frac{2b^{2} y\cdot(4b-y)}{2b^{2} y} =\frac{4}{9}\cdot(2y+b)-(4b-y)=\\\\\\=\frac{8}{9} y+\frac{4}{9}b-4b+y=1\frac{8}{9} y-3\frac{5}{9} b

Вас заинтересует