• Предмет: Математика
  • Автор: goodraizy
  • Вопрос задан 7 лет назад

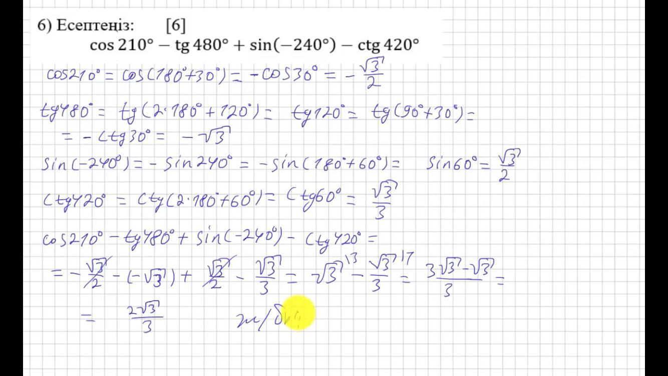
cos210-tg480+sin(-240)-ctg420?​


goodraizy: Надо решить

Ответы

Ответ дал: balmasmyrzabaj
1

Ответ:

Пошаговое объяснение:

Приложения:
Вас заинтересует