Ответы
Ответ дал:
0
Ответ:
Пошаговое объяснение:
такой вариант может получиться
если в каждом ящике было по 6 яблок, по одному забрали осталось 5 яблок. Но по одному забрали из 7
ящиков, это 7 яблок в восьмой ящик.
5+2=7 ,всего было 6×7=42яблока
Ответ дал:
0
Ответ:
42
Пошаговое объяснение:
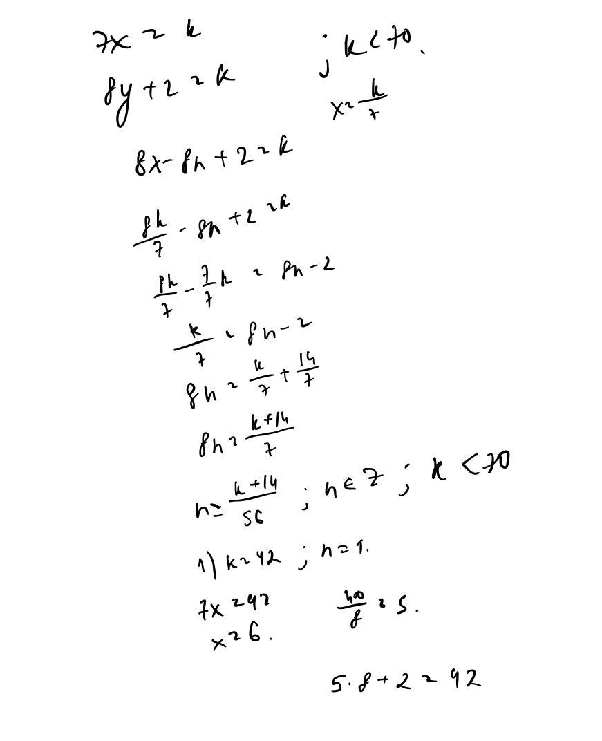
7x = k . 8x-8n + 2 = k (получается от 8(x-n))
выражаем n через k или k через n (я сделала n через к, хотя второй вариант все же удобнее). Исследуем. k это наш ответ, ответ выйдет лишь при случае n=1, так как 0<k<70 и под него подпадает лишь это
Приложения:

Вас заинтересует
2 года назад
2 года назад
2 года назад
2 года назад
9 лет назад