Решить неравенства:


Simba2017:
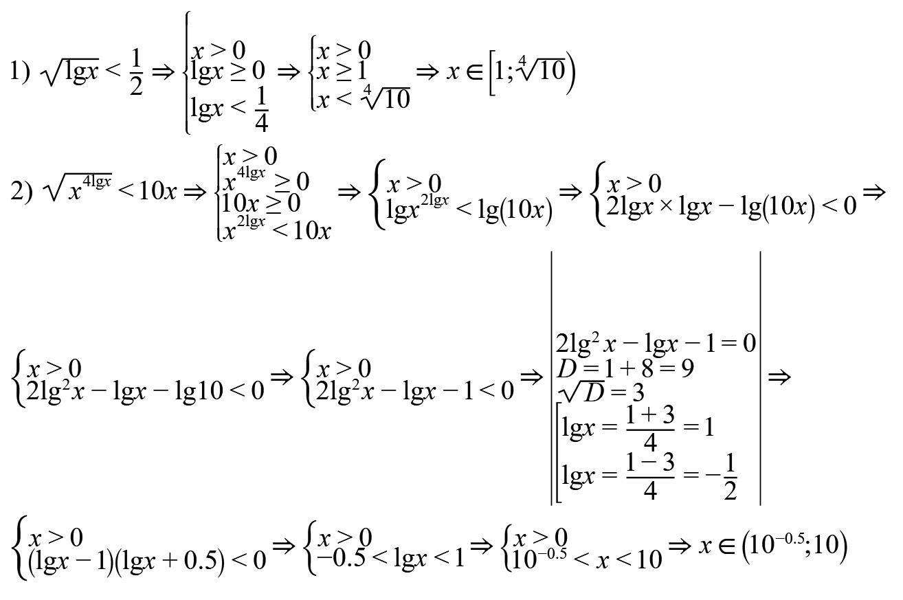
1)все в квадрат
одз х больше или равно 1
lg x < 1/4; x<10^(1/4)
можете ответить?
x=[1;10^(1/4))
я ответов не пишу....
ладно
спасибо все равно
Ответы
Ответ дал:
1
Ответ:
Объяснение:
//////////////////////
Приложения:
спасибо огромное
Вас заинтересует
10 лет назад