• Предмет: Алгебра
  • Автор: 12344321
  • Вопрос задан 7 лет назад

Помогите пожалуйста с алгеброй (11 класс),если не сложно можно полное решение. Заранее спасибо
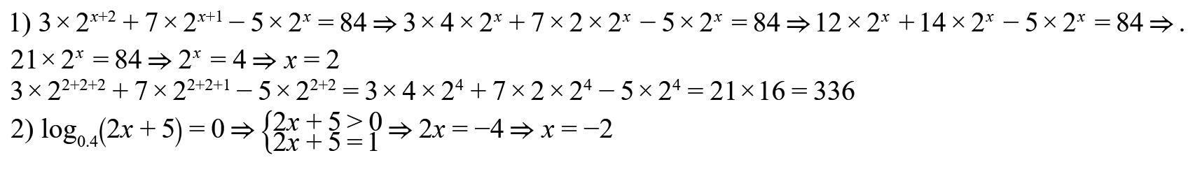
1. пусть х0 - корень уравнения 3×7^х-¹+7×2^х+¹-5×2^х=84. найти значения выражение х0+2.
2. на фото

Приложения:

Ответы

Ответ дал: palilov243659
1

Ответ:

Объяснение:

////////////////////////////////////////

Приложения:

12344321: Спасибо вам большое, только во 2 задании log0.1(2x+5)=0
palilov243659: да это не важно
Вас заинтересует