• Предмет: Алгебра
  • Автор: Notherin
  • Вопрос задан 7 лет назад

ПОМОГИТЕ
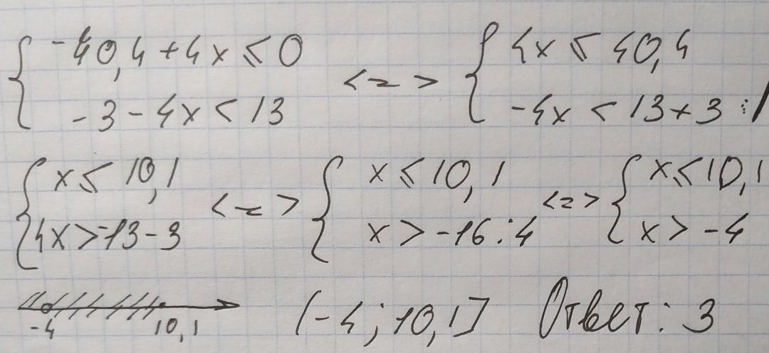
Реши систему неравенств:

Приложения:

Ответы

Ответ дал: valnik0805
0

Ответ:

ответ: (-4;10.1] то есть 3.

Объяснение:

Приложения:
Вас заинтересует