Ответы
Ответ дал:
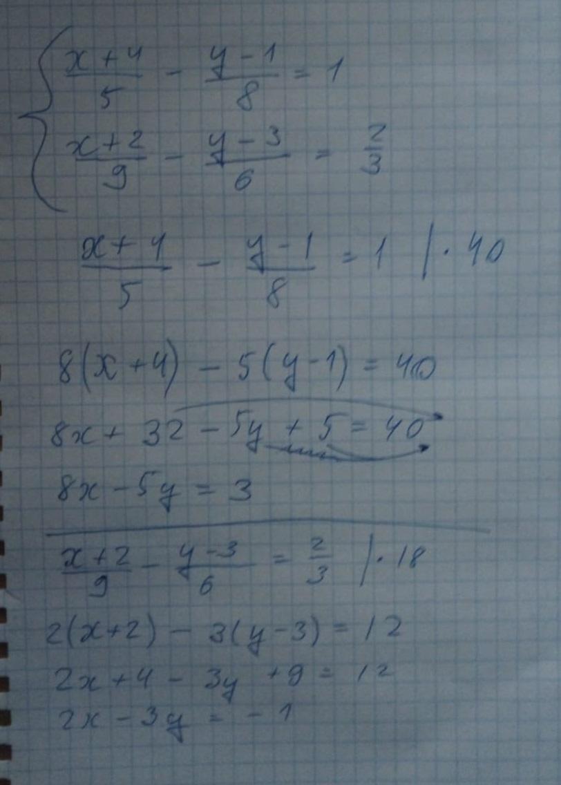
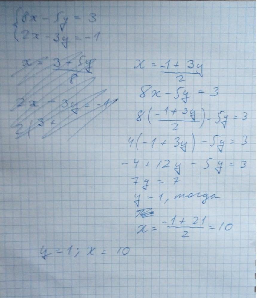
2
Ответ:
3 решил, 4 не умею
Приложения:


annavilkisova:
Спасибооо ты супер
Вас заинтересует
2 года назад
2 года назад
9 лет назад