• Предмет: Алгебра
  • Автор: amirshigoyt
  • Вопрос задан 7 лет назад

Помогите пж!!!!!!!!!!!!!!!!!!!!!!!!!!!!!!!!!!!!

Приложения:

vvika6181: Это будет система уравнений:

Выразим из 1 уравнения x:
x=34+y;
Подставим выраженный x во второе уравнение:

Раскроем скобки по формуле сокращенного уравнения (квадрат суммы):
1156+68y+y^{2}-y^{2}=408
68y=-748
y=-11
Подставим полученный y в уравнение x=34+y, чтобы получить x
x=34-11=23
x=23
x=23; y=-11
Ответ: (23;-11) мы так записывали, не знаю как у вас.
vvika6181: вот
vvika6181: конешно без балов но серавно

Ответы

Ответ дал: Пеппер
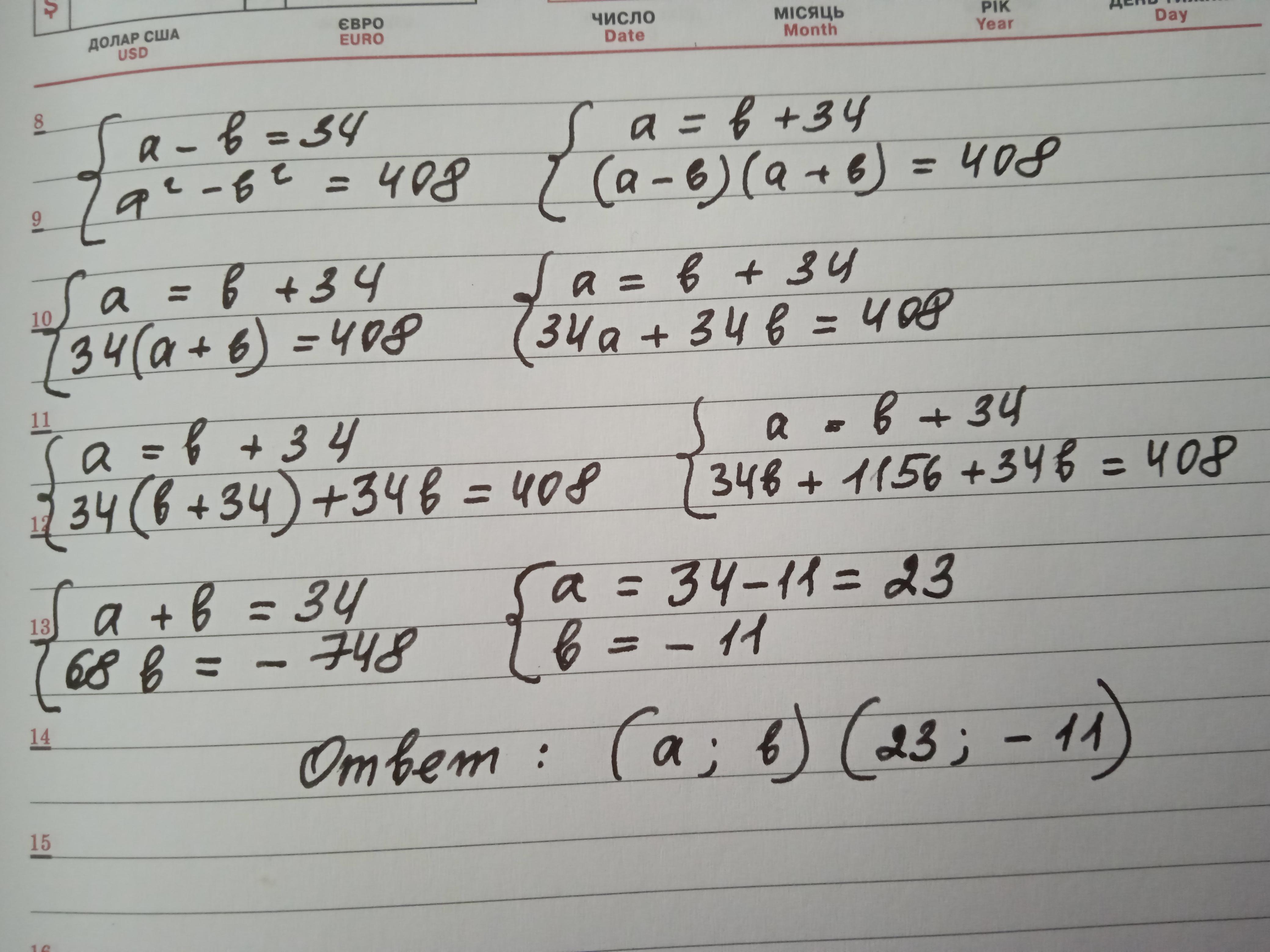
1

Ответ:

на фото

Объяснение:

Приложения:
Ответ дал: aurikalie
0

Ответ:

1 число-х

2 число-у

система:

х-у=34

х^2-у^2=408

х=34+у

(34+у)^2-у^2=408

1156+68у+у^2-у^2=408

68у=408-1156

68у=-748

у=-11

х=34+(-11)

х=23

Вас заинтересует