• Предмет: Математика
  • Автор: NordenLixt548
  • Вопрос задан 7 лет назад

5х^2 - 8|х| +3 = 0
С объяснением пожалуйста. ДАЮ 20 БАЛЛОВ

Ответы

Ответ дал: Lina1nik
1

Ответ:

х1=1 х2=3/5 х3=-1 х4=-3/5

Приложения:

NordenLixt548: Спасибо тебе огромное
Ответ дал: Viis5
1

1)

x≥0, тогда |x| = x, и имеем

5x² - 8x + 3 = 0,

D = 8² - 4·3·5 = 64 - 60 = 4 = 2²

 x = \frac{8\pm 2}{2\cdot 5} = \frac{8\pm 2}{10}

 x_1 = \frac{8-2}{10} = \frac{6}{10} = \frac{3}{5} = 0{,}6

 x_2 = \frac{8+2}{10} = \frac{10}{10} = 1

Оба корня подходят, потому что они неотрицательны.

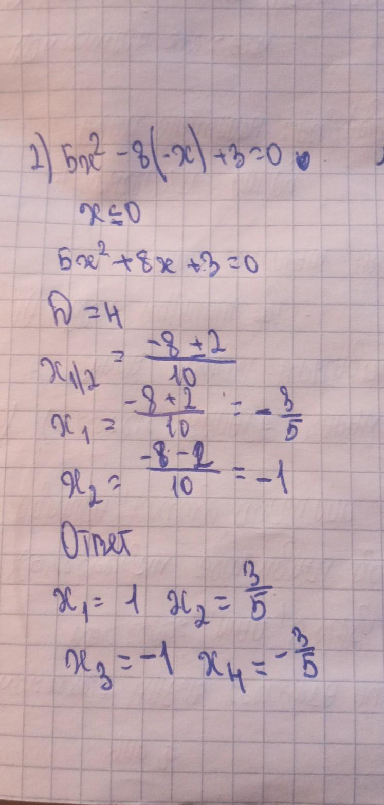
2) x<0, тогда |x| = -x, имеем

5x² - 8·(-x) + 3 = 0,

5x² + 8x + 3 = 0,

D = 8² - 4·3·5 = 64 - 60 = 4 = 2²

 x = \frac{-8\pm 2}{2\cdot 5} = \frac{-8\pm 2}{10}

 x_3 = \frac{-8-2}{10} = -\frac{10}{10} = -1

 x_4 = \frac{-8+2}{10} = -\frac{6}{10} = -\frac{3}{5} = -0{,}6

Последние два корня также подходят, т.к. они отрицательны.

Ответ. {-1; -0,6; 0,6; 1}.

Вас заинтересует