• Предмет: Алгебра
  • Автор: shkolnik687
  • Вопрос задан 7 лет назад

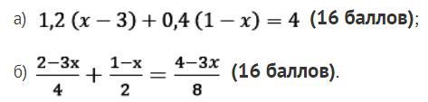
помогите пж дам 20 баллов

Приложения:

Ответы

Ответ дал: Uwjsnshdh
1

Смотрите вложение......

Приложения:
Вас заинтересует