• Предмет: Математика
  • Автор: error1502
  • Вопрос задан 7 лет назад

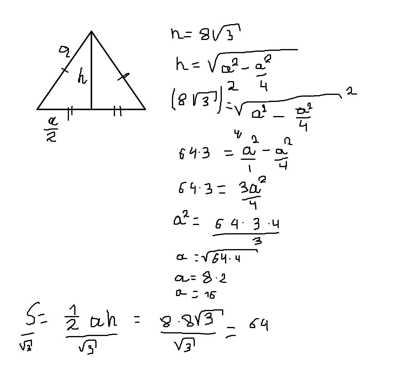
Высота равностороннего треугольника равна 8 корней из 3. Найдите его площадь делённую на корень из трех

Приложения:

marrries: 8 и корень из трех?

Ответы

Ответ дал: mixailsav
0

а - сторона правильного треугольника h  высота. Работает следующее:

определение правильного треугольника; высота в правильном треугольнике и биссектриса и медианна ( в задаче важно, что высота и медиана); теорема Пифагора и формула площади

Приложения:
Вас заинтересует