• Предмет: Математика
  • Автор: alalalalalalla143
  • Вопрос задан 7 лет назад

решите пожалуйста 1вое задания​

Приложения:

Ответы

Ответ дал: jefterkallelp5x8nk
0

Ответ:

Пошаговое объяснение:

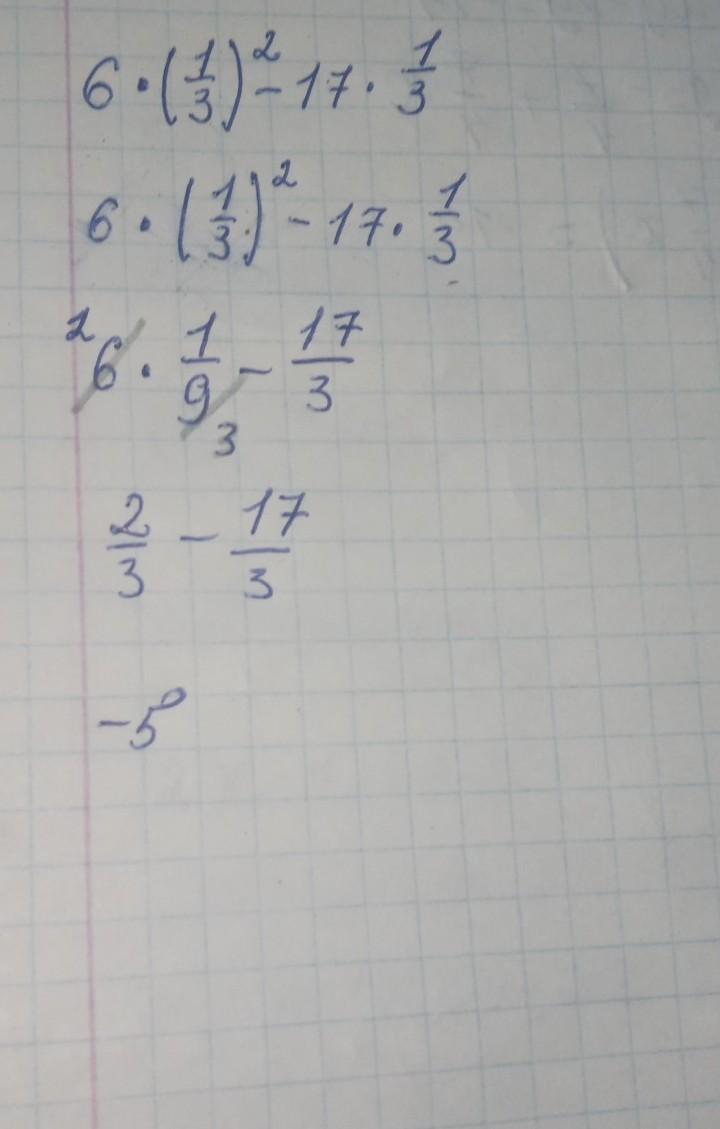
6.(1/3)² - 17.(1/3)

(1/3)(6.1/3) - 17)

(1/3)(6/3) - 17)

(1/3)(2 - 17)

(1/3)(- 15)

- 15/3

- 5

Надеюсь это поможет.

Ответ дал: nessahossler691
0

Ответ на фото: -5

........

Приложения:
Вас заинтересует