• Предмет: Алгебра
  • Автор: asemaazamatova12
  • Вопрос задан 7 лет назад

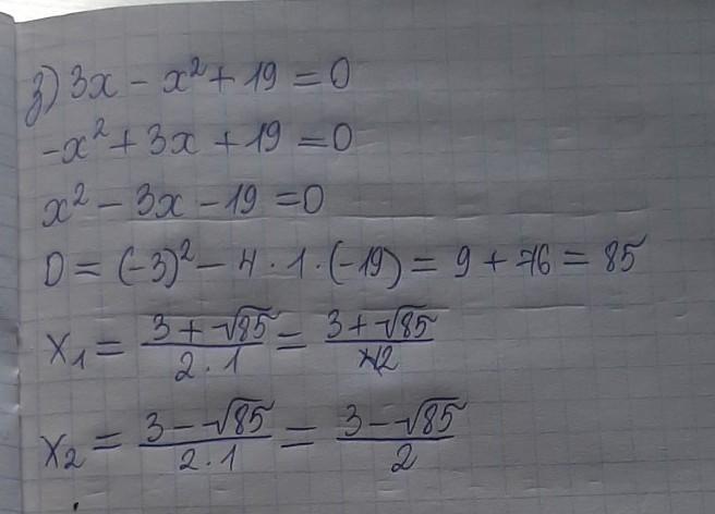
Помогите срочно решить a) 3x ^ 2 + 7x - 6 = 0 ; 6) 2x ^ 2 - 5x + 1 = 0 ; B) 5x^ 2 -x+9=0; r) x ^ 2 + 7 - 4x = 0 ; д) 2x ^ 2 - 11 = 0 ; e) 15x - x ^ 2 = 0 ; *) 7x ^ 2 = 0 ; 3) 3x - x ^ 2 + 19 = .

Ответы

Ответ дал: timersaihovkirill
0

Ответ:

Решение на фото.............

Приложения:
Вас заинтересует