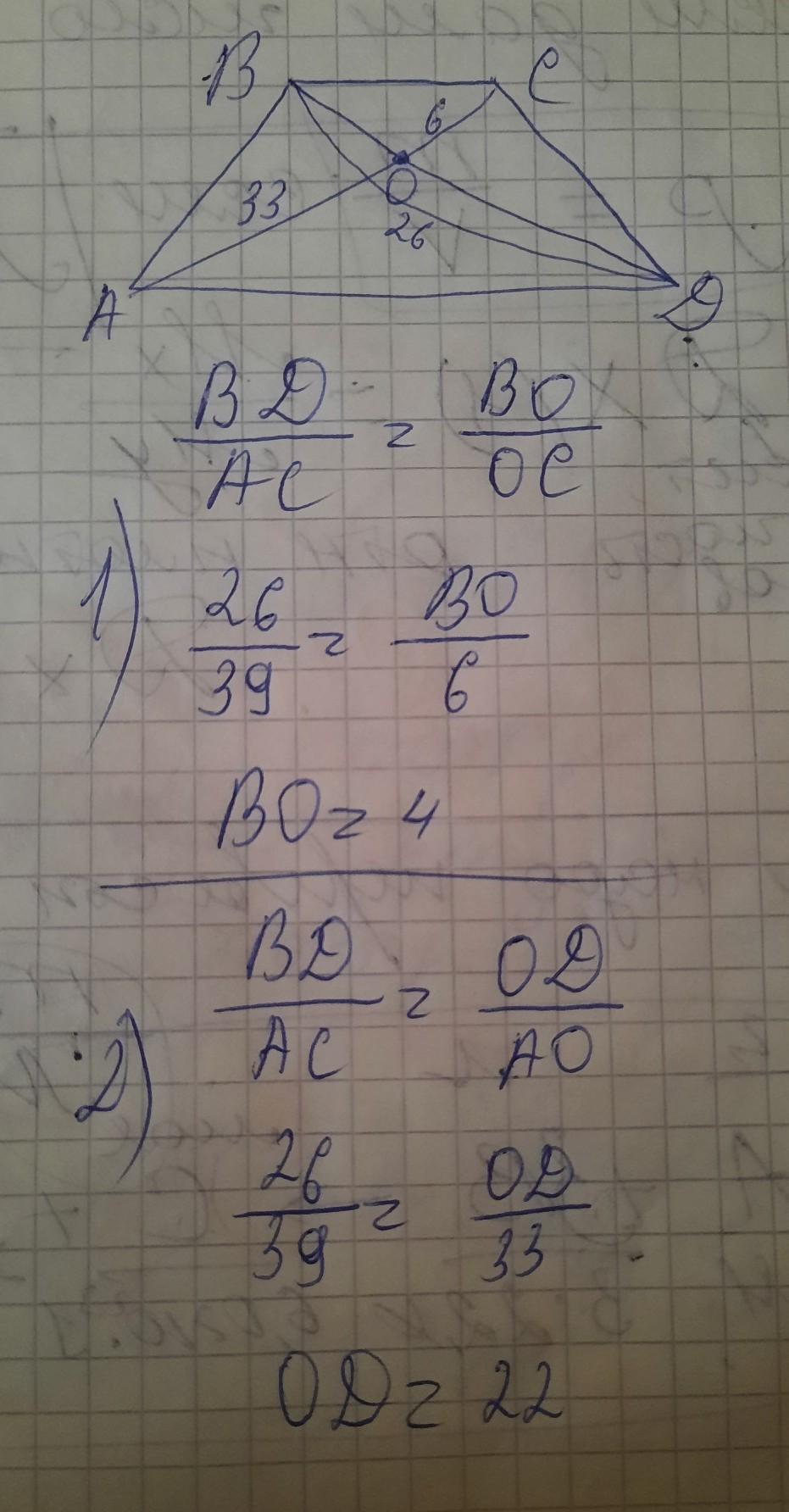
23. Диагонали AC и BD трапеции ABCD пересекаются в точке 0.
Найдите длины отрезков ВО и OD, если AO=33 см, ОС=6 см и
BD=26 см (рисунок 6).
Приложения:

maryamabdullayeva08:
Помогите пожалуйста!!!
Ответы
Ответ дал:
1
Ответ:
я решала через подобие треугольников,которые образовались пересечением диагоналей
Приложения:

Вас заинтересует
2 года назад
2 года назад
2 года назад
2 года назад
8 лет назад
8 лет назад
9 лет назад