• Предмет: Химия
  • Автор: ons44950
  • Вопрос задан 7 лет назад

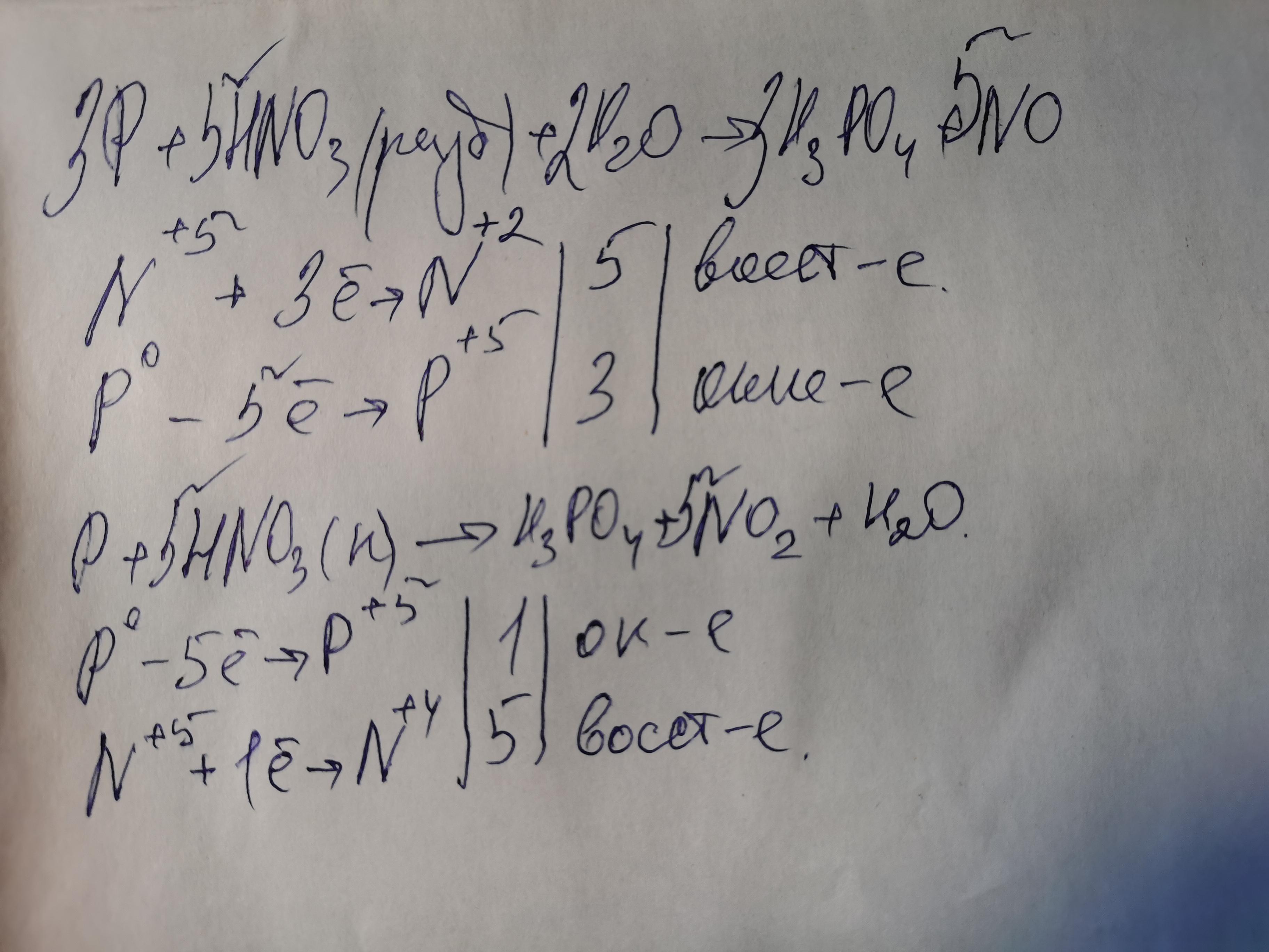
ДАЮ 100 БАЛЛОВ!!! Помогите пожалуйста сделать работу по фосфору. Химия 9 класс.

Приложения:

zhukovskayaalep161zd: Сейчас сделаю остальное.

Ответы

Ответ дал: zhukovskayaalep161zd
1

Ответ: 6) 2.

7) 4.

8) 2.

9) 4.

10) 3.

11) 4.

Объяснение:

Приложения:

ons44950: Спасибо большое
Вас заинтересует