Ответы
Ответ дал:
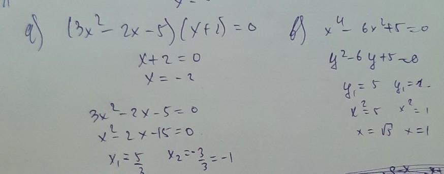
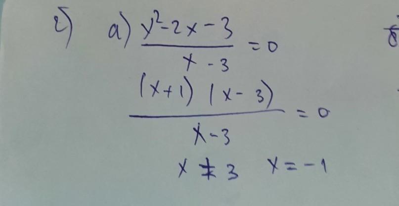
1
Ответ:
на счёт четвёртого не уверен
Приложения:



Вас заинтересует
2 года назад
2 года назад
2 года назад
8 лет назад
9 лет назад