• Предмет: Математика
  • Автор: dasicyrensojmpolov09
  • Вопрос задан 7 лет назад

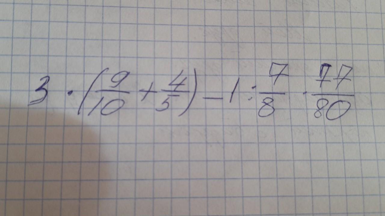
помогите пожалуйста, математика моё слабое место​

Приложения:

Ответы

Ответ дал: s1341
0

Ответ:

Пошаговое объяснение:

3*(9/10+4/5)-1:7/8*77/80=

1) 9/10+4/5=9+8/10=17/10

2) 3*17/10=51/10

3) 1:7/8=8/7

4)8/7*77/80=1*11/10*1=11/10

5)51/10-11/10=40/10=4

Ответ дал: adsilrie
0

Ответ:

3*(9/10+4/5)-1:7/8*77/80=3*17/10-8/7*77/80=51/10-11/10=4

Вас заинтересует