• Предмет: Алгебра
  • Автор: OperaOleg23
  • Вопрос задан 7 лет назад

Надо решить по дискриминанту.Спасибо

Приложения:

Ответы

Ответ дал: milshinaelena2017
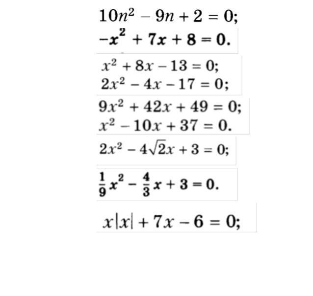
1

1) 10n^2-9n+2=0

D=b^2-4ac=81-80=1

x1=9+1/20=10/20=0,5

x2=9-1/20=8/20=0,4

Ответ: 0,4 ; 0,5

2) -x^2+7x+8

D=49+32=81

x1=-7+9/(-2)=-1

x2=-7-9/(-2)=8

Ответ: -1; 8
3) x^2+8x-13=0
D=64+52=116

x1=-8+√116

x2=-8-√116

4) 9x^2+42+49=0

D=1764-1764=0

x=-42/18=2,33

5) x^2-10x+37=0

D=100-148=-48

Нет корней

6) 2x^2-4√2x+3=0

2x^2-√4x+3=0

D=4-24=-20

Нет корней

8) x|x|+7x-6=0

Если |x| раскрывается с положительным значением

x^2+7x-6=0

D=49+24=73

x1=-7+√73/2

x2=-7-√73/2

Если |x| раскрывается с отрицательным значением

-x^2+7x-6=0

D=49-24=25

x1=-7+5/(-2)=1

x2=-7-5/(-2)=6

Вас заинтересует