РЕШИТЕ ПОЖАЛУЙСТА УРАВНЕНИЕ ИЗ ВПР 7 КЛАСС
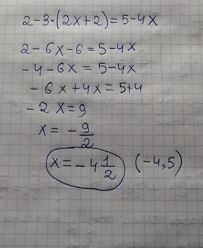
2-3(2x+2) =5-4x
если корней несколько, запишите их в ответ без пробелов в порядке возрастания.
MainBrain123:
можно, пожалуйста, лучший ответ
Ответы
Ответ дал:
0
ответ, должно быть правильно)))))
Приложения:

Ответ дал:
1
Ответ:
Смотри ответ и решение на фото
Можно, пожалуйста, лучший ответ
Приложения:

Вас заинтересует
2 года назад
2 года назад
2 года назад
8 лет назад
8 лет назад