Ответы
Ответ дал:
2
Ответ:
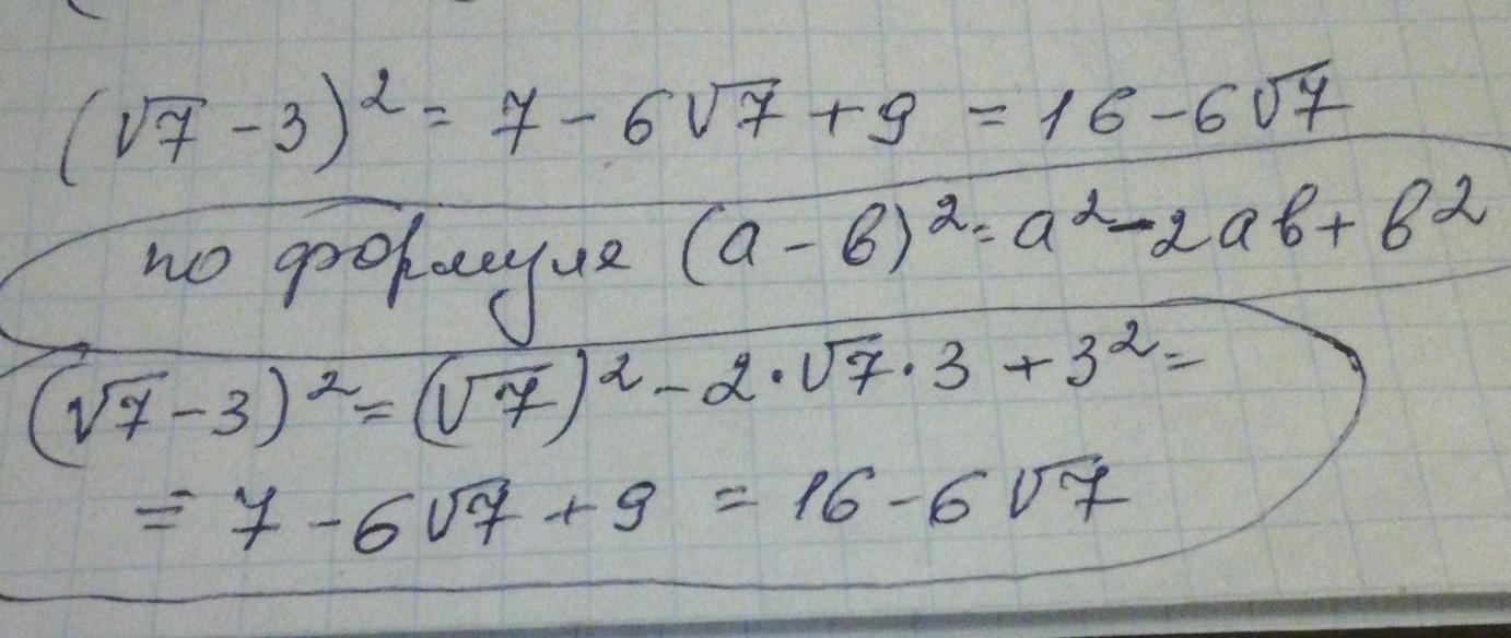
Смотри решение на фото..
Приложения:

larisaserova53:
Объяснение в кружочках)))
Вас заинтересует
2 года назад
2 года назад
8 лет назад
9 лет назад
9 лет назад