1.
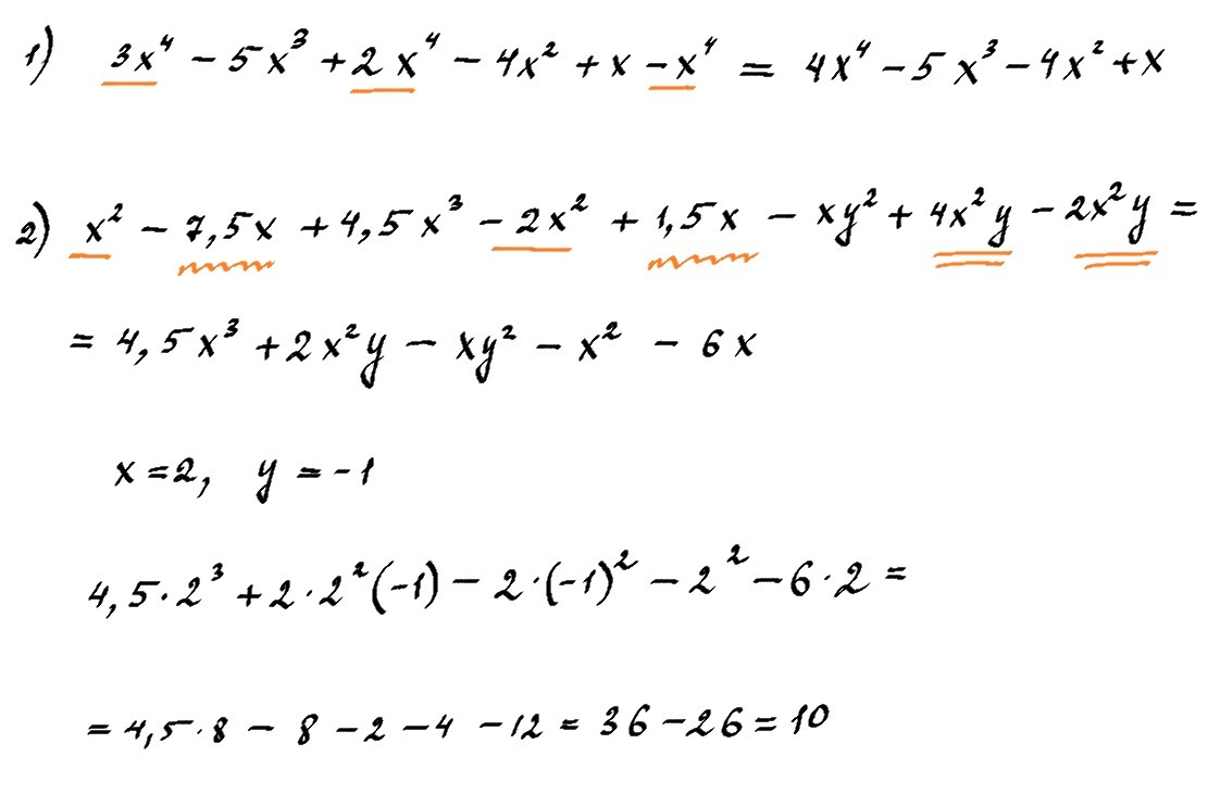
Приведите многочлен к стандартному виду : 3х(в 4 степени)-5х(в 3 степени)+2х(в 4 степени)-4х(во 2 степени)+х-х(в четвёртой степени)
2.
Найдите значение многочлена, приведя его к стандартному виду : х(во 2 степени)-7,5х+4,5х(в степени3)-2х(во 2 степени)+1,5х-ху(y во 2 степени)+4х(во 2 степени)у-2х(во 2 степени)у , если х=2, у= -1
Ответы
Ответ дал:
0
Решение в прикрепленном файле.
Приложения:
Вас заинтересует
3 года назад
8 лет назад
8 лет назад
11 лет назад
11 лет назад
11 лет назад
11 лет назад