• Предмет: Математика
  • Автор: yorkgordon123
  • Вопрос задан 7 лет назад

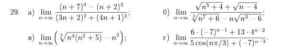
Помогите решить, даю 40 баллов. номер б и г

Приложения:

Ответы

Ответ дал: mazurkevicvladislav4
0

Ответ:

шшииггмшммлмллм

Пошаговое объяснение:

рзишшиишшиш шигиоиширшршштгтшгигигигигииггиигшигигигигигиггигигигиггигм

Вас заинтересует