• Предмет: Алгебра
  • Автор: kdzvw19
  • Вопрос задан 7 лет назад

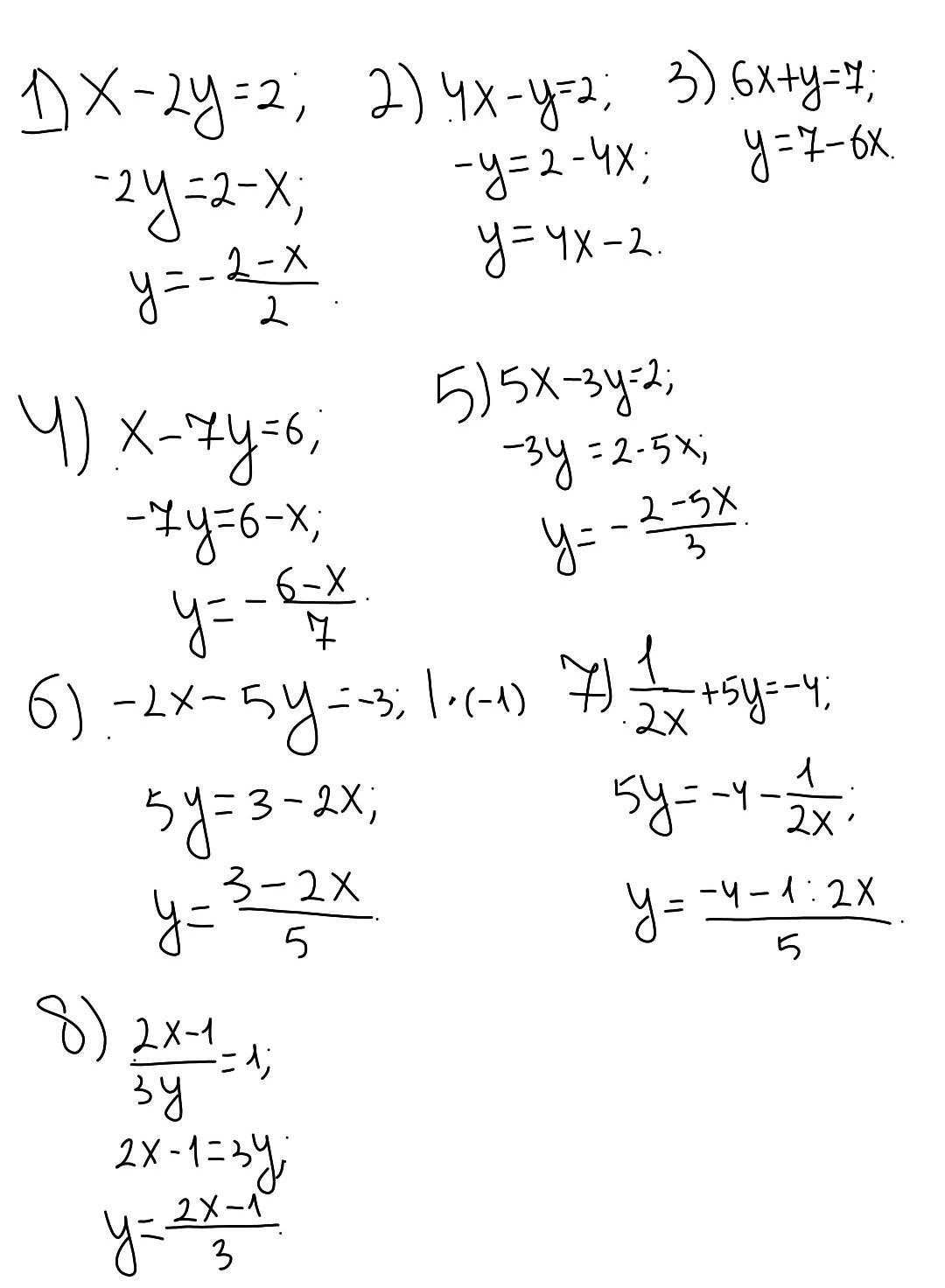
выразите y через x в следующих уравнениях
x-2y=1
4x-y=2
6x+y=7
x-7y=6
5x-3y=2
-2x-5y=-3
1/2x+5y=-4
2x-1/3y=1
​(хотя бы некоторые, пожалуйста) ​

Ответы

Ответ дал: Lol12332122
0

Ответ:

на приклеплёном фото

Объяснение:

........

Приложения:
Вас заинтересует