• Предмет: Алгебра
  • Автор: Ochpochmak191817
  • Вопрос задан 7 лет назад

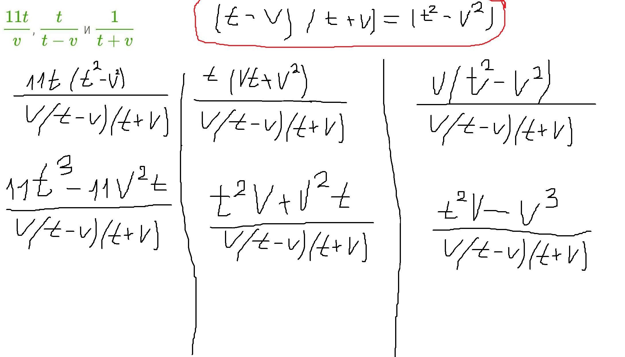
приведите дроби 11/, /-v и t/t+v к общему знаменателю ​

Приложения:

Ответы

Ответ дал: mixailsav
1

Знаменатель можно записать в виде произведения 2 или 3 множителей

Приложения:
Вас заинтересует