• Предмет: Математика
  • Автор: safka189266
  • Вопрос задан 7 лет назад

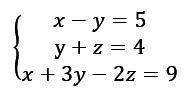
Задание 1 (26 баллов).

Решить систему уравнений:

Приложения:

Ответы

Ответ дал: iosiffinikov
4

Ответ:

х=7,у=2,z=2

Пошаговое объяснение:

Из первого уравнения

х=5+у

Подставим в третье

5+4у-2z=9

2y-z=2

Сложим это уравнение со вторым

3у=6

у=2

z=2

х=7

Вас заинтересует