• Предмет: Математика
  • Автор: safka189266
  • Вопрос задан 7 лет назад

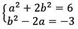
Решите системы уравнений методом домножения и сложения:

Приложения:

Ответы

Ответ дал: tetamotatetyamotya
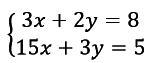
1

Ответ:вот

Пошаговое объяснение:

Приложения:
Вас заинтересует