• Предмет: Алгебра
  • Автор: anik200579
  • Вопрос задан 7 лет назад

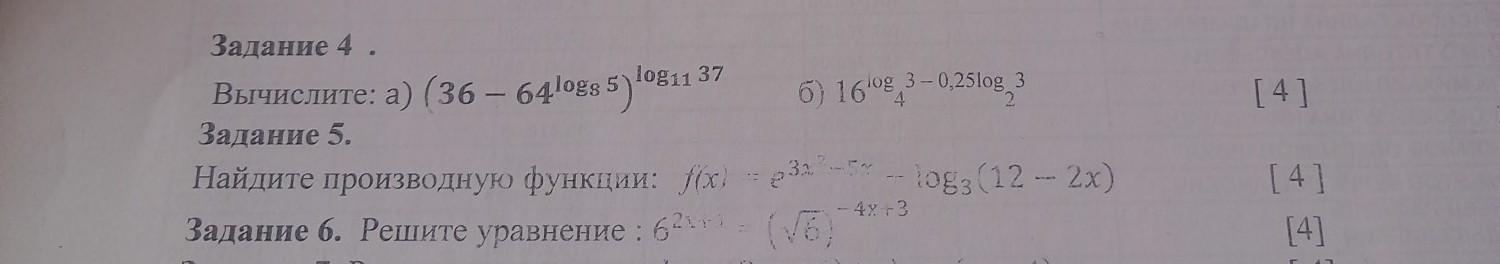
помогите пожалуйста с алгеброй задание 4, 5, 6​

Приложения:

Ответы

Ответ дал: m11m
1

Ответ:

Объяснение:

!!!!!!!!!!!!!!!!!!!!!!!!!

Приложения:

anik200579: можете 4 б) сделать
m11m: Добавлено второе фото . Обновите страницу.
Вас заинтересует