Ответы
Ответ дал:
0
Ответ:
Смотри решение на фото...
Приложения:
Ответ дал:
1
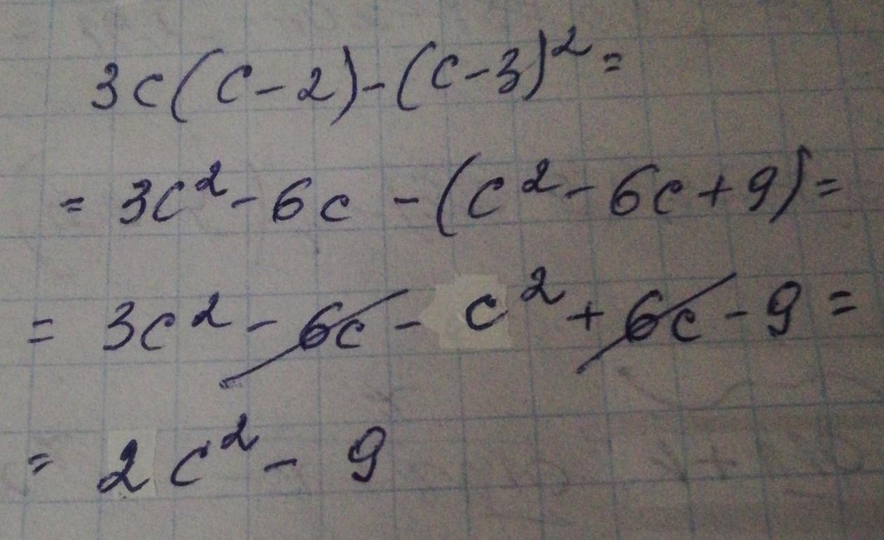
3c(c-2)-(c-3)^2=3c^2 -6c-(c-3)^2=
(распределили 3c через скобки)
=3c^2 -6c-(c^2 -6c+9)=
(используя формулу (a-b)^2=a^2 -2ab+b^2, записали выражение в развёрнутом виде)
=3c^2 -6c-c^2 +6c-9=
(когда перед выражением в скобках стоит знак -, изменили знак каждого члена выражения и опустили скобки)
=3c^2 -c^2 -9
(поскольку сумма двух противоположных величин равна нулю, удалили их из выражения)
Ответ: 3c^2 -c^2 -9
P.S. буду благодарен за отметку моего ответа лучшим)
(распределили 3c через скобки)
=3c^2 -6c-(c^2 -6c+9)=
(используя формулу (a-b)^2=a^2 -2ab+b^2, записали выражение в развёрнутом виде)
=3c^2 -6c-c^2 +6c-9=
(когда перед выражением в скобках стоит знак -, изменили знак каждого члена выражения и опустили скобки)
=3c^2 -c^2 -9
(поскольку сумма двух противоположных величин равна нулю, удалили их из выражения)
Ответ: 3c^2 -c^2 -9
P.S. буду благодарен за отметку моего ответа лучшим)
Вас заинтересует
2 года назад
2 года назад
3 года назад
3 года назад
8 лет назад
8 лет назад
10 лет назад